找回密码
 立即注册
搜索
热搜: 活动 交友 discuz
查看: 109|回复: 0

能量

[复制链接]
  • 打卡等级:热心大叔
  • 打卡总天数:245
  • 打卡月天数:2
  • 打卡总奖励:7719
  • 最近打卡:2025-12-05 20:56:49

350

主题

557

回帖

1万

积分

管理员

积分
10407
发表于 2024-3-20 15:06:04 | 显示全部楼层 |阅读模式
能量(energy)简称“能”,质量的时空分布可能变化程度的度量,用来表示物理系统做功的本领。质量与能量之间的数量关系,即爱因斯坦的质能关系式:E=MC²。
能量的单位与功的单位相同,在国际单位制中是焦耳(J)。在营养学中除了用焦耳(J)作为能量单位以外,有时也用卡路里(cal)作为能量单位,1卡路里约等于4.184焦耳。在原子物理学、原子核物理学、粒子物理学等领域中也用电子伏特(eV)作为能量单位,1电子伏特=1.602,18×10-19焦。在理论物理领域,也有用尔格(erg)作为能量单位的,1尔格=10-7焦。
能量以多种不同的形式存在。按照物质的不同运动形式分类,能量可分为核能、机械能、化学能、内能(热能)、电能、辐射能、光能、生物能等。这些不同形式的能量之间可以通过物理效应或化学反应而相互转化 [1]。各种场也具有能量。
在营养学中,能量指的是食物中所含有的能被人体所吸收的化学能(生物质能),食物中的能量有时也可以称作热量,正常成年人每天消耗的能量约为8.4×106焦(8400千焦,NRV营养素参考值)。









能量是物质运动转换的量度,世界万物是不断运动的,在物质的一切属性中,运动是最基本的属性,其他属性都是运动的具体表现。能量是表征物理系统做功的本领的量度。
能量

对应于物质的各种运动形式,能量也有各种不同的形式,它们可以通过一定的方式互相转换。在机械运动中表现为物体或体系整体的机械能,如动能、势能等。在热现象中表现为系统的内能,它是系统内各分子无规则运动的动能、分子间相互作用的势能、原子和原子核内的能量的总和,但不包括系统整体运动的机械能。对于热运动的内能(旧称热能),人们是通过它与机械能的相互转换而认识的(见热力学第一定律) [2]。

空间属性是物质运动广延性体现;时间属性是物质运动的持续性体现;引力属性是物质在运动过程由于质量分布不均所引起的相互作用的体现;电磁属性是带电粒子在运动和变化过程中的外部表现,等等。物质的运动形式多种多样,每一个具体的物质运动形式存在相应的能量形式
宏观物体的机械运动对应的能量形式是动能;分子运动对应的能量形式是内能(热能);原子运动对应的能量形式是化学能带电粒子的定向运动对应的能量形式是电能;光子(电磁场)运动对应的能量形式是光能(电磁波能),等等。除了这些,还有风能、潮汐能等。当运动形式相同时,物体的运动特性可以采用某些物理量或化学量来描述。物体的机械运动可以用速度、加速度、动量等物理量来描述;电流可以用电流强度、电压、功率等物理量来描述。但是,如果运动形式不相同,物质的运动特性唯一可以相互描述和比较的物理量就是能量,能量是一切运动着的物质的共同特性。
因此可以对能量作出定义:能量在古希腊语中意指“活动、操作”,是一个间接观察的物理量,被视为某一个物理系统对其他的物理系统做功的能力。功被定义为力在物体沿力的方向发生位移的空间积累效应,并且等于力与在力的方向上通过的位移的乘积。一个物体所含的总能量奠基于其总质量,能量同质量一样既不会凭空产生,也不会凭空消灭。能量和质量一样都是标量。在国际单位制(SI)中,能量的单位是焦耳,但有时使用其他单位如千瓦时和千卡,这些也是功的单位。能量是用以衡量所有物质运动规模的统一量度。
A系统可以借由简单的物质转移将能量传递到B系统中(因为物质的质量等价于能量)。如果能量不是借由物质转移而传递能量,而是由其他方式传递,会使B系统产生变化,因为A系统对B系统作功。功的效果如同一个力以一定的距离作用在接收能量的系统中。例如,A系统可以经过电磁辐射到B系统,使吸收辐射能量的B系统内部的粒子产生热运动。一个系统也可以通过碰撞传递能量,在这种情况下被碰撞的物体会在一段距离内受力并获得运动的能量,称为动能。内能(热能)的传递则可以由以上两个方法产生:热可以由辐射能转移能量,或者直接由系统间粒子的碰撞而转移动能。
能量可以不用表现为物质、动能或是电磁能的方式而储存在一个系统中。当粒子在与其有相互作用的一个场中移动一段距离(需借由一个外力来移动),此粒子移动到这个场的新的位置所需的能量便被储存了。当然粒子必须借由外力才能保持在新位置上,否则其所处在的场会借由推或者是拉的方式让粒子回到原来的状态。这种借由粒子在力场中改变位置而储存的能量就称为位能(势能)。一个简单的例子就是在重力场中往上提升一个物体到某一高度所需要做的功就是位能(势能)。
任何形式的能量可以转换成另一种形式。举例来说,当物体在力场中自由移动到不同的位置时,位能可以转化成动能。当能量是属于非内能(热能)的形式时,它转化成其他种类的能量的效率可以很高甚至是完美的转换,包括电力或者新的物质粒子的产生。然而如果是内能(热能)的话,则在转换成另一种形态时,就如同热力学第二定律所描述的,总会有转换效率的限制。在所有能量转换的过程中,总能量保持不变,原因在于总系统的能量是在各系统间做能量的转移,当从某个系统间损失能量,必定会有另一个系统得到这损失的能量,导致失去和获得达成平衡,所以总能量不改变。这个能量守恒定律,是在19世纪初提出,并应用于任何一个孤立系统。根据诺特定理能量守恒是由于物理定律不会随时间而改变所得到的自然结果。虽然一个系统的总能量,不会随时间改变,但其能量的值,可能会因为参考系而有所不同。例如一个坐在飞机里的乘客,相对于飞机其动能为零;但是相对于地球来说,动能却不为零,也不能以单独动量去与地球相比较。
能量是物理学的基本概念之一,从经典力学相对论量子力学宇宙学,能量总是一个核心概念。在一般常用语或科普读物中能量是指一个系统能够释放出来的、或者可以从中获得的、可以相当于做一定量的功。比如说1千克汽油含12千瓦小时能量,是指假如将1千克的汽油中的化学能全部施放出来的话可以做12KWh的功。
能量是物理学中描写一个系统或一个过程的物理量。一个系统的能量可以被定义为从一个零能量的状态转换为该系统现状的功的总和。一个系统有多少能量在物理中并不是一个确定的值,它随着对这个系统的描写而变换。人体在生命活动过程中,一切生命活动都需要能量,如物质代谢合成反应肌肉收缩、腺体分泌等等。而这些能量主要来源于食物。动、植物性食物中所含的营养素可分为五大类:碳水化合物脂类蛋白质矿物质和维生素,加上水为六大类。其中,碳水化合物、脂肪和蛋白质经体内氧化可释放能量。三者统称为“产能营养素”或“热源物质”。
能量守恒定律表明能量不会凭空产生,也不会凭空消失,只能从一种形式转化为另一种形式,而能的总量保持不变。能量是标量,不是矢量,没有方向。至于正物质与反物质并不是说质量有正负,而是原子核的电性相反,相遇后质量转化为能量。任何运动都需要能量。能量的形式有许多种,例如机械能、内能(热能)、电能、光能(电磁波能)、声能机械波能)、化学能、核能等。举一个例子,观察一个质量为1Kg的固体的能量:
在经典力学中,其能量就是从静止加速到现有速度所作的功的总和。
在经典热学中,其能量就是从绝对零度加热现有温度所作的功的总和。
物理化学中,其能量就是合成这个固体时对原料加入的功的总和。
在原子物理中,其能量就是从原子能为零的状态对它做功达到现有状态的功的总和。
还可以用相反的方法来定义这个固体所含的能量。举两个例子:
该固体的内能是将它冷却到绝对零度所释放出来的功的总和。
该固体的原子能是将其结合能在原子核裂变或聚变反应中释放出来变成反应产物的动能。
能量虽然是一个常用和基本的物理概念,同时也是一个抽象的物理概念。事实上,物理学家一直到19世纪中才真正理解能量概念,在此之前常常与力、动量等概念混淆。
能量是物质运动的一般量度。物质运动有多种形式,表现各异,但可互相转换,表明这些运动具有共性,有内在的统一的量度。能量以机械能、内能、电能、化学能等各种形式出现在不同的运动中,并通过作功、传热等方式进行转换。能量的单位有焦耳卡路里尔格千瓦时电子伏特(电子伏)等。
能量在物理中的符号一般是E,其国际单位是焦耳,符号J,量纲
。除焦尔外常用的还有千瓦时(KWh)和卡(Cal)。

1J= 0.2388C= 0.278×10-6KWh
在原子物理和粒子物理中还经常使用电子伏特:
1eV= 1.60217653 ×10-19J
“能”在自然界中有多种存在形式。根据能量守恒定律,能量可以从一种形式转化为另一种形式。为了计算上的方便,对各种不同存在形式的“能”需要制定一个统一的单位,即焦耳(J)或(Cal)。营养学上所使用的能量单位,除了使用焦耳以外,许多年间也一直用卡(Cal)或千卡(Kcal)。1Kc指1Kg纯水的温度从15℃升到16℃所需要的能量。国际通用的能量单位是焦耳(J)。1J指用1牛顿(N)力把1Kg物体移动1m所需要的能量。1000KJ=1×106J。两种能量单位的换算如下:
1KJ=1000J, 1000KJ=1×106J
1Kc=4.184KJ, 1KJ=0.239Kc
1000Kc=4.184MJ,1MJ=239Kc

形式
播报编辑


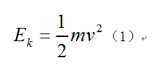
动能

动能是物体由于作机械运动而具有的能,质量为
的物体以速率
运动时,它的动能
为:

动能公式


动能的概念最早是G.W.莱布尼兹提出的;他称之为法力,定义为
,正好是现用的动能定义的两倍。

根据动能定理,运动的物体如受到阻碍而减速直到停止以前,物体就会对障碍物做功。所作的功的量等于物体原有动能的量。因此可以说,动能是物体由于运动而具有的做功能力。例如高速飞行的枪弹具有动能,所以打到钢板上能对钢板做功而穿入;捶到锻件上的铁锤具有动能,所以能对锻件做功而使它变形。
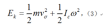
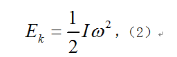
角速度
绕固定轴转动的刚体,其动能为:

动能公式


式中I为刚体对转动轴线的转动惯量。刚体作平面运动时,其动能为:
动能公式


式中m为刚体的质量,
质心的速度,
为刚体对质心轴的转动惯量,
为刚体的角速度。上式可以解释为:刚体作平面运动时的动能等于刚体以质心速度平动时的动能与刚体相对于质心轴转动的动能之和。

刚体绕固定点转动时的动能为:
动能公式


能量


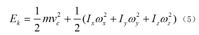
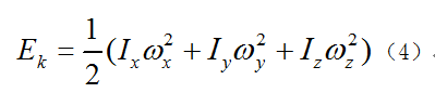
刚体作最一般运动的情况下,其动能为:
动能公式


动能



势能

势能是指物体(或系统)由于位置或位形而具有的能。例如,举到髙处的打桩机重锤具有势能,故下落时能使它的动能增加并对外界做功,把桩打入土中;张开的弓具有势能,故在释放能时对箭做功,将它射向目标。
物体(或系统)的势能,只能对选定的初始位形来计算。物体在某特定位形的势能在数量上等于将物体从初始位形没有加速度地改变到此位形时,外界克服物体抗力所作的功,也就是物体抗力在此过程中所作的功取负值。设物体受到力F的作用,则行微位移dr的元功为F·dr。如取0点为零势能位置,则物体在M点时所具有的势能
为:

动能公式


还要指出,作用于系统的力必须是像重力、弹性力那样的可以恢复的力,即在系统位形变化的一个循环中,力的功等于零,列式如下:
动能公式


满足以上条件的力称为保守力。这样,系统的势能只取决于初始和终了的位置或位形,而与变化过程中的途径无关。故式(6)中的积分路线可以取从O点到M点的任意曲线。非保守力(如摩擦力)不存在势能。下面是一般力学中常见的三种势能:
重力势能
重力是保守力。质量为m的物体,所受到的重力是mgg=9.80665米/秒-2重力加速度)。如果把地面选作零势能位置,则物体在髙度处所具有的重力势能为:
重力势能公式


重力势能及其随高度的变化


更严格地说,这是物体与地球组成的系统所具有的势能(图1)
引力势能
物体离地球中心的距离r很大时,必须考虑到地心引力随距离的变化(图2)。质量为m的物体所受地心引力大小是
能量


式中
能量


是地球的质量;G=6.673×10米/(千克·秒),是引力常数。由式(6)可以算出其势能为:
势能公式


式中
=6.371×10米,是地球半径。零势能位置仍取在地球表面。

引力势能及其随距离的变化


引力势能及其随变形的变化


任何两个物体之间的万有引力也有引力势能,例如质量为m1m2的两个可视为质点的星体的引力势能为
引力势能公式


其中r为两星体间的距离。
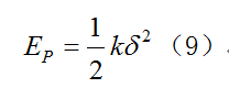
弹性势能
胡克定律:弹簧变形时,作用于外界的弹性力大小F与变形
成正比,

胡克定律


k弹簧刚度(图3)。弹性力也是保守力。如取弹簧未变形时的自然状态作为零势能位形,则由式(6)算出它变形时的势能为:
势能公式



化学能

化学能是物质发生化学变化化学反应)时释放或吸收的能量。如干电池和蓄电池的放电是化学能转变成电能;给电池充电则是电能转变成化学能 [1]。其本质是原子的外层电子变动,导致电子结合能改变而放出的能量。正负电子对湮没成光子,就是电子的静能转换成光子的能量 [2]。

内能

(热能)
物质内部原子分子热运动的动能和原子之间的势能之和,温度愈高的物质所包含的内能(热能)愈大。热机是膨胀的水蒸气把它的内能(热能)变成了热机的动能 [1]。

电能

正负电荷之间由于电力作用所具有的电势能,可以用电场强度表达出来。真空中的电能密度(单位体积内的电能)即电场能量密度w=E2/2;介质中的电能密度w=E·D/2,式中D电位移矢量E是电场强度。
电能的提取就是将电势能变成带电粒子的动能,如导体中的电流或加速器中的荷电粒子束磁能是指磁场能磁能密度w=H·B/2,式中H磁场强度B磁感应强度。电能密度与磁能密度之和为电磁能密度(电磁场能量密度w=(E·D+H·B)/2 [1]。

辐射能

指光和电磁波的能量(光子的能量) [1]。

核能

原子核内核子的结合能,它可以在原子核裂变聚变反应中释放出来变成反应产物的动能 [1]。根据狭义相对论,物体的质量m和能量E之间存在着质能关系E=mс2(с为真空中的光速)。因此,当物体静止时也具有能量。物质的能量、质量这二者是密切相关的。原子核的质量比组成它的核子的总质量小,即自由核子结合成原子核时有能量释放出来,这能量称为原子核的结合能比结合能(原子核中平均每核子的结合能)低的重核裂变成比结合能高的较轻核,或几个比结合能低的轻核聚合成一个比结合能高的较重核,所释放的能量就是原子能 [2]。





营养学中,能量指的是食物中所含有的能被人体所吸收的化学能生物质能),食物中的能量有时也可以称作热量,正常成年人每天消耗的能量约为8.4×106焦(8400千焦NRV营养素参考值)。

人体能量

人体的能量需要量是指机体能长期保持良好的健康状况,具有良好的体型、机体构成和活动水平的个体,达到能量平衡并能维持从事生产劳动社会活动所必须的能量摄入量。
人体每天所需能量计算方式。成年人的能量消耗主要用于维持基础代谢体力活动食物特殊动力作用三方面能量消耗需要的总和。对于孕妇应包括子宫、乳房、胎盘、胎儿等的生长发育及母体体脂的储备,乳母则需要合成和分泌乳汁,婴幼儿、儿童、青少年则包括生长发育的能量需要,故能量处于平衡状态
正常需要量经验公式
成年男性:每日能量需要量(KJ)=体重(KG)×192
成年女性:每日能量需要量(KJ)=体重(KG)×167
并按劳动强度不同分别以不同系数加以调整。轻体力劳动、积极活动和剧烈活动的调整系数分别为:0.9、1.17和1.34。
例如70Kg体重轻体力劳动男性,每日能量需要量为:70×192×0.9=12096KJ,折算千卡(Kc)为 2880Kc。
此数值明显高于中国人能量推荐摄入量(轻体力劳动成年男性为2400Kc)。在能量推荐量还需要进一步下调的今天,国际粮农组织这一算法显然并不适合中国内地居民的能量需要量估计。
中国营养学会2000年指出,中国居民膳食能量参考摄入量,成年男性轻、中体力劳动者每日需要能量为2400—2700Kc(千卡),女性轻、中体力劳动者每日需要能量为2100—2300Kc(千卡)。婴儿、儿童和青少年、孕妇和乳母、老年人各自的生理特点不同,能量需要也不尽相同。

您需要登录后才可以回帖 登录 | 立即注册

本版积分规则

Archiver|手机版|小黑屋|Discuz! X

GMT+8, 2025-12-7 08:45 , Processed in 0.030160 second(s), 24 queries .

Powered by Discuz! X3.5

© 2001-2025 Discuz! Team.

快速回复 返回顶部 返回列表